Provisional Translation
Financial Services Agency
August 2, 2002

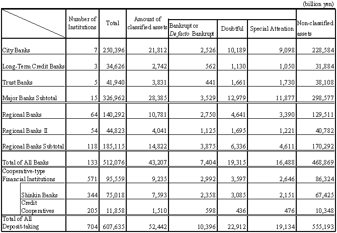
Table-2 The Status of Classified Assets of All Deposite-taking Financial Institutions based on the Financial Reconstruction Law
(as of end-March 2002)

The Status of Classified Assets of All Deposite-taking Financial Institutions based on the Financial Reconstruction Law

(Notes)
1. These figures are from the institutions' reports based on Article 6 of the Financial Reconstruction Law.(Agricultural Cooperatives are excluded)
2. Financial institutions that declared bankruptcy are excluded.
3. Each of the above classification category corresponds to each of the following Japanese category:
"Bankrupt or De facto Bankrupt" => "Hasankouseitou-saiken"  ,  "Doubtful" => "Kiken-saiken"  ,
"Special Attention" => "Yokanri-saiken".

Table-1
The Status of
Non-Performing Loans Held
by All Deposit-taking
Financial Institutions
(as of end-March 2002)
Table-2
The Status of Classified
Assets of All Deposite-taking
Financial Institutions
based on the Financial
Reconstruction Law
(as of end-March 2002)
Table-3
Transition of the Amount of
Classified Assets Based on the
Financial Reconstruction Law
Table-4
The status of Risk Management
Loans of All Deposit-taking
Financial Institutions
(as of end-March 2002)
Table-5
Loss on Disposal of
Non-Performing Loans
of All Banks as of end-March 2002